Goal
- 다익스트라 알고리즘을 이해하고 활용할 수 있다. ✔
- 다익스트라 알고리즘을 구현할 수 있다. ✔
다익스트라 알고리즘

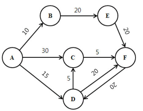
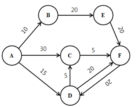
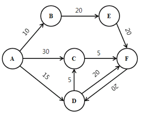
그래프 탐색 문제와 유사하나 정점 간의 간선에 가중치가 있어 경로 상의 가중치를 모두 더했을 때 가장 최소가 되는 경로를 구하는 문제이다.
그냥 그래프 탐색으로 모든 경로를 탐색하여 최솟값을 구할 수 있으나, 보통 시간 초과 오류가 난다.
다이나믹 프로그래밍을 사용해 그래프 탐색을 최대한 최소화 하는 것이 이 알고리즘의 기본 아이디어이다.
간단하게는 그래프 탐색과 다이나믹 프로그래밍을 함께 활용하는 것이라고 이해하면 좋다.
다익스트라 알고리즘의 원리
탐색을 시작할 점을 잡는다. (거리의 합이 중요하므로 시작점은 하나만 잡을 수 있다.)
해당 그래프 주위의 간선들을 탐색하여 그래프를 탐색해나간다
(여기까진 그냥 그래프 탐색과 똑같다.)
이때, 조건이 더 붙는다.
- 방문한 노드가 처음 방문이라면 해당 노드까지의 거리(가중치의 합)를 갱신하고 해당 노드도 탐색한다.
- 처음이 아니라면 이미 갱신되어있는 거리와 비교하여 거리가 더 작을 때만 해당 노드를 탐색한다. (DP를 이용한탐색의 최소화)
BFS와 비슷한 방식으로 탐색하는데 이때 중요한 점은 BFS는 탐색의 순서가 없지만, 다익스트라의 경우 가중치가 더 적은 간선이 더 최단거리일 확률이 높으므로 지금까지 거리가 가장 작은 노드부터 탐색한다.
이때, 보통 heapq를 사용하여 탐색한다.
즉, bfs인데 Heapq와 DP가 활용된 BFS라고 할 수 있겠다.
구현
그래프 탐색을 이미 이해하고 있다면 사실 원리보다 구현을 보고 이해하는 것이 더 빠를 수 있다.
https://www.acmicpc.net/problem/1753
1753번: 최단경로
첫째 줄에 정점의 개수 V와 간선의 개수 E가 주어진다. (1 ≤ V ≤ 20,000, 1 ≤ E ≤ 300,000) 모든 정점에는 1부터 V까지 번호가 매겨져 있다고 가정한다. 둘째 줄에는 시작 정점의 번호 K(1 ≤ K ≤ V)가
www.acmicpc.net
백준의 다익스트라 알고리즘을 연습하는 문제이다.
코드
import sys
import heapq
input = sys.stdin.readline
INF = sys.maxsize
V, E = map(int, input().split())
K = int(input())
dp = [INF]*(V+1)
heap = []
graph = [[] for _ in range(V + 1)]
def Dijkstra(start):
dp[start] = 0
heapq.heappush(heap,(0,start))
while heap:
wei,now = heapq.heappop(heap)
for w,next in graph[now]:
weight = w + wei
if dp[next] > weight:
dp[next] = weight
heapq.heappush(heap,(weight,next))
for _ in range(E):
u, v, w = map(int, input().split())
graph[u].append((w, v))
Dijkstra(K)
for i in range(1,V+1):
print("INF" if dp[i] == INF else dp[i])
코드를 보면 알겠지만, BFS와 비슷한데 큐 대신 우선순위 큐를 사용하고, 우선 순위 큐에서는 최단 거리부터 탐색하게끔 하여 더 시간이 많이 걸리는 탐색은 if문에서 걸려서 더 이상 탐색하지 않게끔 한다.
이때 사이클이 있다면 dp에 존재하는 값이 사이클을 돈 값보다 무조건 더 작을 것이므로 사이클은 돌지 않게 된다.
이러한 관점에서 거리에 -값이 있다면 다익스트라 알고리즘이 아니라 밸만 포드 알고리즘을 사용하여야한다✅
결국 포인트는 어떤 한 점으로부터 다른 점들로까지 가능한 최단 경로를 알려주는 다익스트라 알고리즘은 BFS와 DP를 혼합한 형태라도 봐도 좋다는 것이다. ✅
'알고리즘' 카테고리의 다른 글
| [알고리즘] 깊이 우선 탐색(DFS) 과 너비 우선 탐색(BFS) 의 개념과 차이 (0) | 2022.06.27 |
|---|---|
| [알고리즘] 브루트포스(brute force) 기법 정리 (0) | 2022.02.23 |
| 정렬 알고리즘 정리 (0) | 2021.10.31 |